機能性脂質
- SS-cleavable and pH-responsive Lipids
- 高純度カチオン脂質
- PEGジアシルグリセロール
- 活性化PEGジアシルグリセロール
- 合成リン脂質
- PEGリン脂質
- 活性化PEGリン脂質
- よくあるご質問
- お問い合わせ
1. Ionizable and Cationic Lipids
1-1. SS-cleavable and pH-responsive Lipids
COATSOME® SS Series
日油株式会社は、薬剤の細胞内送達効率をより安全に高めることを目的としてCOATSOME® SSシリーズを新たに開発しました。COATSOME® SSシリーズは細胞内環境に応答する2つのユニットを搭載しています。1つはエンドソームやリソソームといった酸性環境に応答する三級アミンであり、もう1つ細胞質内の還元的環境に応答して切断するジスルフィド結合です。これら2つのユニットによって、内包物の効率的な細胞内送達と高い安全性を両立することができます。

| Product name | Structure | MW |
|---|---|---|
| COATSOME® SS-EC (ssPalm E-P4C2) |
![]() |
1402.2 |
| COATSOME® SS-OP (ssPalm O-Phe) |
![]() |
1173.8 |
Patent No. : JP6093710, JP7298850, US9708628,US120644513
Particle formation

Serum resistance

Membrane disruption in the cells

COATSOME® SSシリーズを用いた粒子は血清中でも安定であり、pDNAを内包することで、血清中でのpDNAの分解を防ぐことができます。そして、細胞内の環境特異的に崩壊することで、pDNAを細胞内に効率的に送達することができます。
Degradation of COATSOME® SS-OP
High degradable type COATSOME® SS-OP

HPLC analysis

In vivo toxicity in comparison to a competitor lipid

Body weight change

Feature
- 様々な核酸を内封可能(siRNA, mRNA, pDNA)
- 細胞質内への優れた薬物送達能
- 生体内環境での高い分解性および低毒性
- 優れた臓器指向性(肝臓、脾臓、リンパ節など)
- 25℃で長期保管可能な凍結乾燥LNP製剤化
- 凍結融解LNP製剤への応用
- ワクチンへの応用(液性免疫、細胞性免疫)
Examples of application
COATSOME® SSシリーズの高い生体親和性により、様々な化合物の細胞内送達を高効率で行うことが可能です。SSシリーズからなる粒子にはpDNA,siRNA,mRNAそして疎水性低分子化合物が内包でき、腫瘍や脾臓、リンパ節をターゲットとした送達の研究実績があります。下記ではその例として、siRNA肝臓送達、mRNA肝臓送達、そしてRNAワクチン用途を想定したmRNAリンパ節デリバリーのデータをご紹介します。
Hepatic delivery of siRNA

Distribution of [3H] labeled LNPSS-EC
![Distribution of [3H] labeled LNP SS-EC](img/liposomal/Distribution-of-[3H]-labeled-LNPSS-EC.jpg)
Hepatic delivery of mRNA

Gene editing (CRISPR/Cas9)
2.jpg)
RNA vaccine
Recommended SS lipid for vaccine application
| Application | Nucleic acid | Recommended SS lipid |
|---|---|---|
| Vaccine (cancer) (i.m., s.c.) | mRNA, pDNA | COATSOME® SS-OP COATSOME® SS-EC |
| Vaccine (infection) (i.m., s.c.) | mRNA, pDNA | COATSOME® SS-OP |
CTL activity

Humoral immunity

Therapeutic anti-tumor effect

Low-inflammatory LNP-based mRNA vaccine



In vitro transfection of mRNA

Luciferase

EGFP

mRNA transfection efficiency of LNP is higher than that of a commercially available mRNA transfection reagent.
Splenic delivery formulation

Lyophilized LNP

COATSOME is a registered trademark of NOF CORPORATION in the U.S. and a registered trademark or a trademark in other countries.
Freeze-thaw LNP

Reference List

LNP Formulation Development
日油株式会社はPhosphorex社との協業により、日油株式会社独自のイオン性脂質であるCOATSOME® SS Seriesを使用したイオン性脂質のスクリーニングと処方最適化サービスを提供します。
Phosphorex社は、製剤設計、プロセス開発、cGMP臨床製造のためのスケールアップを含むナノ粒子ベースのドラッグデリバリーソリューションを専門とするCDMOです。NOFの脂質技術とPhosphorexの脂質ナノ粒子(LNP)ベースのドラッグデリバリーソリューションの開発とスケールアップの経験を組み合わせることで、顧客により迅速で、より費用対効果が高く、再現性のある結果を提供します。

イオン性脂質スクリーニング
お客様の用途に最適なイオン性脂質のスクリーニングサービスを提供します。日油株式会社で開発済みの既存処方をベースに、ポテンシャルの高いイオン性脂質ライブラリーを用いて製剤設計を行い、お客様の核酸を内封したLNPを提供します。

処方最適化
実験計画法とマテリアルズ・インフォマティクスによる効率的な処方とプロセスの最適化サービスを提供します。お客様のご要望に応じた粒子特性、生物活性およびプロセスパラメーターの最適化。可能性を最大限に引き出し、スケーラブルで再現性の高いLNPを提供します。

1-2. 高純度カチオン脂質
DOTAP
| Product name | Description | Purity | MW | |
|---|---|---|---|---|
| DOTAP | COATSOME® CL-8181TA | 1,2-Dioleoyloxy-3-trimethylammonium propane chloride | 99%up | 698.5 |
DOTMA

| Product name | Description | Purity | MW | |
|---|---|---|---|---|
| DOTMA | COATSOME® CL-E8181TA | 1,2-Dioleyloxy-3-trimethylammonium propane chloride | 99%up | 670.6 |
DODAP

| Product name | Description | Purity | MW | |
|---|---|---|---|---|
| DODAP | COATSOME® CL-8181DA | 1,2-Dioleoyloxy-3-dimethylaminopropane | 99%up | 648.1 |
DODMA

| Product name | Description | Purity | MW | |
|---|---|---|---|---|
| DODMA | COATSOME® CL-E8181DA | 1,2-Dioleyloxy-3-dimethylaminopropane | 99%up | 620.1 |
2. PEG Lipids
-
2-1. PEGジアシルグリセロール 
その他のPEG分子量、アシル鎖長にもご要望に応じてカスタム対応可能です。
PEG ジアシルグリセロールは電荷を有していないことから、電荷が問題となる薬剤、特に核酸医薬の分野での使用に適しています。日油株式会社は高純度 PEG の製造と高純度脂質の製造の両方に関する知見を有していることから、世界に先駆けて PEG ジアシルグリセロールの開発を行ってきました。その結果、日油株式会社製品は多くの企業で評価、 採用されています。
日油株式会社は、LNP用途向けに、様々なPEG分子量とアシル鎖長のジアシルグリセロール型PEG脂質を供給しており、現在では業界最高レベルの高純度PEG脂質を製品化しています。
高度に精製された原材料を使用することで、他の供給元から入手できるPEG脂質よりも純度が高く、不純物が極めて少ない高品質のPEG脂質を生産しています。Product name Description PEG MW RCOO DMG-PEG2000 SUNBRIGHT® GM-020EX 1,2-Dimyristoyl-rac-glycero-3-methylpolyoxyethylene 2,000 C14:0 DMG-PEG3400 SUNBRIGHT® GM-034EX* 1,2-Dimyristoyl-rac-glycero-3-methylpolyoxyethylene 3,400 C14:0 DMG-PEG5000 SUNBRIGHT® GM-050EX* 1,2-Dimyristoyl-rac-glycero-3-methylpolyoxyethylene 5,000 C14:0 DPG-PEG2000 SUNBRIGHT® GP-020EX 1,2-Dipalmitoyl-rac-glycero-3-methylpolyoxyethylene 2,000 C16:0 DPG-PEG3400 SUNBRIGHT® GP-034EX* 1,2-Dipalmitoyl-rac-glycero-3-methylpolyoxyethylene 3,400 C16:0 DPG-PEG5000 SUNBRIGHT® GP-050EX* 1,2-Dipalmitoyl-rac-glycero-3-methylpolyoxyethylene 5,000 C16:0 DSG-PEG2000 SUNBRIGHT® GS-020EX 1,2-Distearoyl-rac-glycero-3-methylpolyoxyethylene 2,000 C18:0 DSG-PEG3400 SUNBRIGHT® GS-034EX* 1,2-Distearoyl-rac-glycero-3-methylpolyoxyethylene 3,400 C18:0 DSG-PEG5000 SUNBRIGHT® GS-050EX* 1,2-Distearoyl-rac-glycero-3-methylpolyoxyethylene 5,000 C18:0 DOG-PEG2000 SUNBRIGHT® GO-020EX 1,2-Dioleoyl-rac-glycero-3-methylpolyoxyethylene 2,000 C18:1 DOG-PEG3400 SUNBRIGHT® GO-034EX* 1,2-Dioleoyl-rac-glycero-3-methylpolyoxyethylene 3,400 C18:1 DOG-PEG5000 SUNBRIGHT® GO-050EX* 1,2-Dioleoyl-rac-glycero-3-methylpolyoxyethylene 5,000 C18:1 * : make-to-order

PEG 脂質の純度は HPLC-CAD を使用して分析されます。CAD検出は、UV 吸収のない化合物の分析に一般的に使用されるELSD 検出よりも感度が高く、定量的です。これにより、厳密な不純物管理が可能になります。
-
2-2. 活性化PEGジアシルグリセロール
部位特異的な送達には、リガンドで修飾されたナノ粒子が広く使用されています。 従来の修飾に用いられているのは、活性化PEGリン脂質のような荷電脂質です。 それらを脂質ナノ粒子(LNP)に適用することは、LNPの電荷と安定性に悪影響を与えるため、好ましくありません。 日油株式会社の「活性化PEGジアシルグリセロール」は電荷を持たないため、部位特異的なLNPの調製に有用です。


Product name Description PEG MW X SUNBRIGHT® GS-020TS 1,2-Distearoyl-rac-glycero-3-(succinimidyloxycarbonyl) polyoxyethylene 2,000 
SUNBRIGHT® GS-034TS 1,2-Distearoyl-rac-glycero-3-(succinimidyloxycarbonyl) polyoxyethylene 3,400 SUNBRIGHT® GS-050TS 1,2-Distearoyl-rac-glycero-3-(succinimidyloxycarbonyl) polyoxyethylene 5,000 SUNBRIGHT® GS-020MA 1,2-Distearoyl-rac-glycero-3-(2’-maleimidoethyl) polyoxyethylene 2,000 
SUNBRIGHT® GS-034MA 1,2-Distearoyl-rac-glycero-3-(2’-maleimidoethyl) polyoxyethylene 3,400 SUNBRIGHT® GS-050MA 1,2-Distearoyl-rac-glycero-3-(2’-maleimidoethyl) polyoxyethylene 5,000 SUNBRIGHT® GS-020AZ 1,2-Distearoyl-rac-glycero-3-(2’-azidoethyl) polyoxyethylene 2,000 
SUNBRIGHT® GS-034AZ 1,2-Distearoyl-rac-glycero-3-(2’-azidoethyl) polyoxyethylene 3,400 SUNBRIGHT® GS-050AZ 1,2-Distearoyl-rac-glycero-3-(2’-azidoethyl) polyoxyethylene 5,000 SUNBRIGHT® GS-020DB2* 1,2-Distearoyl-rac-glycero-3-({3’-azadibenzoocyclooctyne-3’-oxopropyl}aminocarbonyl) polyoxyethylene 2,000 
SUNBRIGHT® GS-034DB2* 1,2-Distearoyl-rac-glycero-3-({3’-azadibenzoocyclooctyne-3’-oxopropyl}aminocarbonyl) polyoxyethylene 3,400 SUNBRIGHT® GS-050DB2* 1,2-Distearoyl-rac-glycero-3-({3’-azadibenzoocyclooctyne-3’-oxopropyl}aminocarbonyl) polyoxyethylene 5,000
3. 合成リン脂質
原料の脂肪酸を日油株式会社で高純度に精製して、各種リン脂質誘導体を製造していますので、様々な脂肪酸組成の誘導体を合成することができます。日油株式会社の合成リン脂質は、FDAの認可を受けたGMP管理下の工場で製造していますので、安心して医薬品に使うことが出来ます。
新しいリン脂質誘導体についても受託合成し、新規誘導体のDMF登録も数多く行っていますので、試薬ステージから臨床ステージ、さらには承認医薬品用途まで供給できます。
-
3-1. ホスファチジルコリン 
Product name Description Purity MW R1COO R2COO Tc DDPC COATSOME® MC-1010* 1,2-Didecanoyl-sn-glycero-3-phosphocholine 99% up 565.7 C10:0 C10:0 -6 DMPC COATSOME® MC-4040 1,2-Dimyristoyl-sn-glycero-3-phosphocholine 99% up 677.9 C14:0 C14:0 24 DPPC COATSOME® MC-6060 1,2-Dipalmitoyl-sn-glycero-3-phosphocholine 99% up 734.0 C16:0 C16:0 42 DSPC COATSOME® MC-8080 1,2-Distearoyl-sn-glycero-3-phosphocholine 99% up 790.2 C18:0 C18:0 56 DOPC COATSOME® MC-8181 1,2-Dioleoyl-sn-glycero-3-phosphocholine 99% up 786.1 C18:1 C18:1 -18 MPPC COATSOME® MC-4060* 1-Myristoyl-2-palmitoyl-sn-glycero-3-phosphocholine 99% up 706.0 C14:0 C16:0 35 MSPC COATSOME® MC-4080* 1-Myristoyl-2-stearoyl-sn-glycero-3-phosphocholine 99% up 734.0 C14:0 C18:0 38 PMPC COATSOME® MC-6040* 1-Palmitoyl-2-myristoyl-sn-glycero-3-phosphocholine 99% up 706.0 C16:0 C14:0 28 PSPC COATSOME® MC-6080* 1-Palmitoyl-2-stearoyl-sn-glycero-3-phosphocholine 99% up 762.1 C16:0 C18:0 49 POPC COATSOME® MC-6081 1-Palmitoyl-2-oleoyl-sn-glycero-3-phosphocholine 99% up 760.1 C16:0 C18:1 -3 SOPC COATSOME® MC-8081* 1-Stearoyl-2-oleoyl-sn-glycero-3-phosphocholine 99% up 788.1 C18:0 C18:1 7 * : make-to-order
-
3-2. リゾホスファチジルコリン 
Product name Description Purity MW R1COO Tc M-LysoPC COATSOME® MC-40H* 1-Myristoyl-2-lyso-sn-glycero-3-phosphocholine 99% up 467.6 C14:0 - P-LysoPC COATSOME® MC-60H 1-Palmitoyl-2-lyso-sn-glycero-3-phosphocholine 99% up 495.6 C16:0 - S-LysoPC COATSOME® MC-80H 1-Stearoyl-2-lyso-sn-glycero-3-phosphocholine 99% up 523.7 C18:0 - O-LysoPC COATSOME® MC-81H* 1-Oleoyl-2-lyso-sn-glycero-3-phosphocholine 99% up 521.7 C18:1 - * : make-to-order
-
3-3. ホスファチジルグリセロール 
Product name Description Purity MW R1COO R2COO Tc DMPG-Na COATSOME® MG-4040LS 1,2-Dimyristoyl-sn-glycero-3-phosphoglycerol, sodium salt 99% up 688.9 C14:0 C14:0 24 DPPG-Na COATSOME® MG-6060LS 1,2-Dipalmitoyl-sn-glycero-3-phosphoglycerol, sodium salt 99% up 745.0 C16:0 C16:0 42 DSPG-Na COATSOME® MG-8080LS 1,2-Distearoyl-sn-glycero-3-phosphoglycerol, sodium salt 99% up 801.1 C18:0 C18:0 55 DOPG-Na COATSOME® MG-8181LS 1,2-Dioleoyl-sn-glycero-3-phosphoglycerol, sodium salt 98% up 797.0 C18:1 C18:1 - -
3-4. ホスファチジン酸 
Product name Description Purity MW R1COO R2COO Tc DMPA-Na COATSOME® MA-4040LS* 1,2-Dimyristoyl-sn-glycero-3-phosphate, sodium salt 98% up 614.8 C14:0 C14:0 50 DPPA-Na COATSOME® MA-6060LS* 1,2-Dipalmitoyl-sn-glycero-3-phosphate, sodium salt 99% up 670.9 C16:0 C16:0 68 DSPA-Na COATSOME® MA-8080LS* 1,2-Distearoyl-sn-glycero-3-phosphate, sodium salt 99% up 727.0 C18:0 C18:0 66 * : make-to-order
-
3-5. ホスファチジルエタノールアミン 
Product name Description Purity MW R1COO R2COO Tc DMPE COATSOME® ME-4040 1,2-Dimyristoyl-sn-glycero-3-phosphoethanolamine 99% up 635.9 C14:0 C14:0 50 DPPE COATSOME® ME-6060 1,2-Dipalmitoyl-sn-glycero-3-phosphoethanolamine 99% up 692.0 C16:0 C16:0 65 DSPE COATSOME® ME-8080 1,2-Distearoyl-sn-glycero-3-phosphoethanolamine 99% up 748.1 C18:0 C18:0 74 DOPE COATSOME® ME-8181 1,2-Dioleoyl-sn-glycero-3-phosphoethanolamine 99% up 744.0 C18:1 C18:1 -16 POPE COATSOME® ME-6081 1-Palmitoyl-2-oleoyl-sn-glycero-3-phosphoethanolamine 99% up 718.0 C16:0 C18:1 25 -
3-6. ホスファチジルセリン 
Product name Description Purity MW R1COO R2COO Tc DMPS-Na COATSOME® MS-4040LS 1,2-Dimyristoyl-sn-glycero-3-phospho-L-serine, sodium salt 85% up 701.8 C14:0 C14:0 36 DPPS-Na COATSOME® MS-6060LS 1,2-Dipalmitoyl-sn-glycero-3-phospho-L-serine, sodium salt 85% up 758.0 C16:0 C16:0 54 DSPS-Na COATSOME® MS-8080LS* 1,2-Distearoyl-sn-glycero-3-phospho-L-serine, sodium salt 85% up 814.1 C18:0 C18:0 68 DOPS-Na COATSOME® MS-8181LS 1,2-Dioleoyl-sn-glycero-3-phospho-L-serine, sodium salt 97% up 810.0 C18:1 C18:1 - POPS-Na COATSOME® MS-6081LS* 1-Palmitoyl-2-oleoyl-sn-3-phospho-L-serine, sodium salt 85% up 784.0 C16:0 C18:1 - * : make-to-order
Reference for Tc values of 2.1-2.6 : Gregor Cevc et al. (1993) "Phospholipids Handbook"
-
3-7. 活性化リン脂質
活性化リン脂質には、抗体などのSH基と反応するマレイミド基を持つタイプと、タンパク質などのNH2基やSH基と反応する活性化カルボキシル基を持つタイプがあります。

Product name Description MW R1COO R2COO DMPE-MAL COATSOME® FE-4040MA3 N-(3-Maleimido-1-oxopropyl)-1,2-dimyristoyl-sn-glycero-3-phosphoethanolamine, sodium salt 809.0 C14:0 C14:0 DPPE-MAL COATSOME® FE-6060MA3 N-(3-Maleimido-1-oxopropyl)-1,2-dipalmitoyl-sn-glycero-3-phosphoethanolamine, sodium salt 865.1 C16:0 C16:0 DSPE-MAL COATSOME® FE-8080MA3 N-(3-Maleimido-1-oxopropyl)-1,2-distearoyl-sn-glycero-3-phosphoethanolamine, sodium salt 921.2 C18:0 C18:0 DOPE-MAL COATSOME® FE-8181MA3 N-(3-Maleimido-1-oxopropyl)-1,2-dioleoyl-sn-glycero-3-phosphoethanolamine, sodium salt 917.1 C18:1 C18:1 -

Product name Description MW R1COO R2COO DMPE-Glu COATSOME® FE-4040GL N-Glutaryl-1,2-dimyristoyl-sn-glycero-3-phosphoethanolamine, sodium salt 771.9 C14:0 C14:0 DPPE-Glu COATSOME® FE-6060GL N-Glutaryl-1,2-dipalmitoyl-sn-glycero-3-phosphoethanolamine, sodium salt 828.1 C16:0 C16:0 POPE-Glu COATSOME® FE-8080GL N-Glutaryl-1,2-distearoyl-sn-glycero-3-phosphoethanolamine, sodium salt 884.2 C18:0 C18:0 DOPE-Glu COATSOME® FE-8181GL N-Glutaryl-1,2-dioleoyl-sn-glycero-3-phosphoethanolamine, sodium salt 880.1 C18:1 C18:1
4. PEGリン脂質
PEGリン脂質は、体内投与において血中滞留性を高める目的でリポソーム薬剤に用いることができます。ポリエチレングリコールでリポソーム表面を覆うことにより、細網内皮系への取り込みを抑え、血中での滞留時間を延長することができます。
また、乳化剤および水溶液中での微粒子の安定剤としても使用することができます。

-
4-1. PEGリン脂質 
カルバメート結合タイプのPEG-リン脂質は、加水分解に対して安定であり、現在市販されているPEG-リポソームに用いられています。日油の高品質な活性化PEGとリン脂質を原料として用いることにより、高品質なPEG-リン脂質を供給できます。 Product name Description PEG MW R1COO R2COO SUNBRIGHT® DSPE-020CN N-(Methylpolyoxyethylene oxycarbonyl)-1,2-distearoyl-sn-glycero-3-phosphoethanolamine, sodium salt 2,000 C18:0 C18:0 SUNBRIGHT® DSPE-050CN N-(Methylpolyoxyethylene oxycarbonyl)-1,2-distearoyl-sn-glycero-3-phosphoethanolamine, sodium salt 5,000 C18:0 C18:0 SUNBRIGHT® PP-020CN* N-(Methylpolyoxyethylene oxycarbonyl)-1,2-dipalmitoyl-sn-glycero-3-phosphoethanolamine, sodium salt 2,000 C16:0 C16:0 SUNBRIGHT® PP-050CN N-(Methylpolyoxyethylene oxycarbonyl)-1,2-dipalmitoyl-sn-glycero-3-phosphoethanolamine, sodium salt 5,000 C16:0 C16:0 SUNBRIGHT® PM-020CN* N-(Methylpolyoxyethylene oxycarbonyl)-1,2-dimyristoyl-sn-glycero-3-phosphoethanolamine, sodium salt 2,000 C14:0 C14:0 * : make-to-order
Product name Description PEG MW R1COO R2COO SUNBRIGHT® DSPE-020GL2U* N-[2',3'-Bis(methylpolyoxyethylene oxy)propane-1'-oxycarbonyl]-1,2-distearoyl-sn-glycero-3- phosphoethanolamine, sodium salt 2,000 C18:0 C18:0 SUNBRIGHT® DSPE-050GL2U* N-[2',3'-Bis(methylpolyoxyethylene oxy)propane-1'-oxycarbonyl]-1,2-distearoyl-sn-glycero-3- phosphoethanolamine, sodium salt 5,000 C18:0 C18:0 -
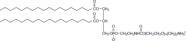
4-2. 活性化PEGリン脂質
Phospholipid-PEG-NH2

Product name Description PEG MW DSPE-PEG-NH2 SUNBRIGHT® DSPE-020PA N-(Aminpropylpolyoxyethylene oxycarbonyl)-1,2-distearoyl-sn-glycero-3- phosphoethanolamine, sodium salt 2,000 DSPE-PEG-NH2 SUNBRIGHT® DSPE-034PA N-(Aminpropylpolyoxyethylene oxycarbonyl)-1,2-distearoyl-sn-glycero-3- phosphoethanolamine, sodium salt 3,400 DSPE-PEG-NH2 SUNBRIGHT® DSPE-050PA N-(Aminpropylpolyoxyethylene oxycarbonyl)-1,2-distearoyl-sn-glycero-3- phosphoethanolamine, sodium salt 5,000 -
Ethyl amine type

Product name Description PEG MW DSPE-PEG-NH2
(Ethyl amine type)SUNBRIGHT® DSPE-020EA* N-(Aminoethylpolyoxyethylene oxycarbonyl)-1,2-distearoyl-sn-glycero-3-phosphoethanolamine 2,000 * : make-to-order
-
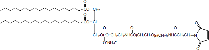
Phospholipid-PEG-MAL

Product name Description PEG MW DSPE-PEG-MAL SUNBRIGHT® DSPE-020MA01 N-[N'-(3'-Maleimido-1'-oxopropyl) aminopropylpolyoxyethylene
oxycarbonyl]- 1,2-distearoyl-sn-glycero-3-phosphoethanolamine, sodium salt2,000 DSPE-PEG-MAL SUNBRIGHT® DSPE-034MA N-[N'-(3'-Maleimido-1'-oxopropyl) aminopropylpolyoxyethylene
oxycarbonyl]- 1,2-distearoyl-sn-glycero-3-phosphoethanolamine, sodium salt3,400 DSPE-PEG-MAL SUNBRIGHT® DSPE-050MA N-[N'-(3'-Maleimido-1'-oxopropyl) aminopropylpolyoxyethylene
oxycarbonyl]- 1,2-distearoyl-sn-glycero-3-phosphoethanolamine, sodium salt5,000 -
Ammonium salt

Product name Description PEG MW DSPE-PEG-MAL (Ammonium salt) SUNBRIGHT® DSPE-020MA2* (N-[N'- (3'-Maleimido-1'-oxopropyl) aminoethylpolyoxyethylene oxycarbonyl]-1,2-distearoyl-sn-glycero-3-phosphoethanolamine, ammonium salt 2,000 * : make-to-order
-
Phospholipid-PEG-NHS

Product name Description PEG MW DSPE-PEG-NHS SUNBRIGHT® DSPE-020GS N-[N'-(Succinimidyloxy glutaryl) aminopropylpolyoxyethylene oxycarbonyl]-1,2-distearoyl-sn-glycero-3- phosphoethanolamine, sodium salt 2,000 DSPE-PEG-NHS SUNBRIGHT® DSPE-034GS N-[N'-(Succinimidyloxy glutaryl) aminopropylpolyoxyethylene oxycarbonyl]-1,2-distearoyl-sn-glycero-3- phosphoethanolamine, sodium salt 3,400 DSPE-PEG-NHS SUNBRIGHT® DSPE-050GS N-[N'-(Succinimidyloxy glutaryl) aminopropylpolyoxyethylene oxycarbonyl]-1,2-distearoyl-sn-glycero-3- phosphoethanolamine, sodium salt 5,000 -
Phospholipid-PEG-ALD

Product name Description PEG MW DSPE-PEG-ALD SUNBRIGHT® DSPE-034AL N-(3'-Oxopropylpolyoxyethylene oxycarbonyl)-1,2-distearoyl-sn-glycero-3- phosphoethanolamine, sodium salt 3,400 -
Phospholipid-PEG-Azide (AZ)
.gif)
Product name Description PEG MW DSPE-PEG-AZ SUNBRIGHT® DSPE-020AZ2* N-[(5-azido-1-oxopentyl) aminopropylpolyoxyethylene oxycarbonyl]-1,2-distearoyl-sn-glycero-3-phosphoethanolamine, sodium salt 2,000 SUNBRIGHT® DSPE-034AZ2* N-[(5-azido-1-oxopentyl) aminopropylpolyoxyethylene oxycarbonyl]-1,2-distearoyl-sn-glycero-3-phosphoethanolamine, sodium salt 3,400 SUNBRIGHT® DSPE-050AZ2* N-[(5-azido-1-oxopentyl) aminopropylpolyoxyethylene oxycarbonyl]-1,2-distearoyl-sn-glycero-3-phosphoethanolamine, sodium salt 5,000 * : make-to-order
-
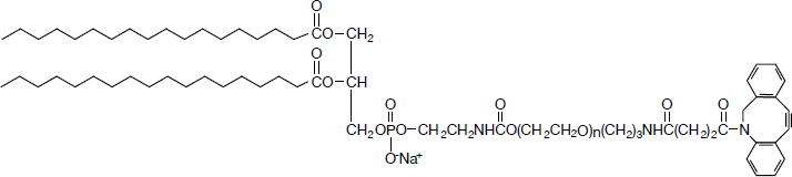
Phospholipid-PEG-DBCO

Product name Description PEG MW DSPE-PEG-DBCO SUNBRIGHT® DSPE-020DB* N-[(4-dibenzocyclooctyl-1,4-dioxobutyl) aminopropylpolyoxyethylene oxycarbonyl]-1,2-distearoyl-sn-glycero-3-phosphoethanolamine, sodium salt 2,000 SUNBRIGHT® DSPE-034DB* N-[(4-dibenzocyclooctyl-1,4-dioxobutyl) aminopropylpolyoxyethylene oxycarbonyl]-1,2-distearoyl-sn-glycero-3-phosphoethanolamine, sodium salt 3,400 SUNBRIGHT® DSPE-050DB* N-[(4-dibenzocyclooctyl-1,4-dioxobutyl) aminopropylpolyoxyethylene oxycarbonyl]-1,2-distearoyl-sn-glycero-3-phosphoethanolamine, sodium salt 5,000 * : make-to-order
Example of Active Targeting to Lymphatic Endothelial Cells

SUNBRIGHT及びCOATSOMEは、日油株式会社の登録商標です。
よくあるご質問
- Q納入までにどのくらいかかりますか。
- A在庫がある場合は7-10日程度で納品いたします。
在庫がない場合は納入まで時間が掛かる場合がございます。
正確な納期については弊社までお問い合わせ下さい。 - Q在庫の有無が知りたいのですが。
- Aご希望の製品名と数量およびご使用者様名を弊社まで連絡願います。
確認することは可能ですが、在庫を確保することはできません。
(確認いただいた際、在庫ありと御報告させていただいても、ご注文いただいた時に在庫があるとは限りません。) - Q初めて注文するのですが、どのようにすればいいですか。
- A弊社までお問い合わせ下さい。
- Q値段を知りたいのですが。
- Aご希望の製品名と数量およびご使用者様名を弊社まで連絡願います。
- Q医療品、食品、家庭用品として使えますか。
- A使用できません。試薬は、試験・研究の目的にのみ使用されます。
(例外:高純度ポリソルベート80は日本薬局方品) - Q毒物、劇物に該当しますか。
- A該当いたしません。
- Q保管はどのようにすればいいですか。
- A弊社までお問い合わせ下さい。

.gif)
.gif)